Der Schienenverkehr in der besonderen Ausgleichsregelung des EEG
Prof. Dr. Erik Gawel*
Im Rahmen der Novellierung des EEG sehen sich Ausmaß und Reichweite der Begünstigungen durch die sog. besondere Ausgleichsregelung schwerwiegender Kritik ausgesetzt und sind zugleich Gegenstand einer beihilferechtlichen Überprüfung. Durch die anstehende Reform des EEG werden nunmehr auch die Begünstigungen neu geordnet. Deutlich im Schatten der Diskussion über Industrieprivilegien stehen dabei die analogen Begünstigungen für den Schienenbahnsektor. Der Beitrag zeigt Ziele und Ausgestaltungen der besonderen Ausgleichsregelung für Schienenbahnen auf, fragt nach ökonomischen Rechtfertigungen und bewertet die geplante Neuregelung im Entwurf zum EEG 2014.
I. Besondere Ausgleichsregelung für Schienenbahnen: Ziele, Ausgestaltung und Entlastungswirkungen
1. Zielstellungen
Während die besondere Ausgleichsregelung (BesAR) für Unternehmen des produzierenden Gewerbes deren internationale Wettbewerbsfähigkeit durch Begrenzung der EEG-Umlage erhalten soll, folgt die Umlagereduzierung für Schienenverkehrsunternehmen einer anderen Intention: In diesem Bereich sollen mögliche Beeinträchtigungen der Wettbewerbsfähigkeit in der Konkurrenz zu anderen Verkehrsträgern (intermodaler Wettbewerb) vermieden werden (§ 40 S. 2 EEG 2012).1 Auf diese Weise sollen die Wettbewerbsfähigkeit des Schienentransports gegenüber alternativen (stromfreien) Transportmitteln zu Lande (Straße) oder in der Luft bewahrt und Transportpreissteigerungen als Folge umlagebedingter Strompreiserhöhungen abgewendet werden.
Zur Begründung wird aber oftmals kurzerhand die geringere Umweltbelastung des Schienenverkehrs im Vergleich zu anderen Verkehrsträgern angeführt: So sieht das Bundesumweltministerium (BMU) die besondere Ausgleichsregelung für Schienenbahnen als gerechtfertigt an, „um einen Wettbewerbsnachteil der Schiene gegenüber weniger umweltfreundlichen Verkehrsmitteln (Straßenverkehr, Flugverkehr) zu vermeiden“.2 Auch die Gesetzesmaterialien zum EEG 2009 sehen die Einbeziehung der Schienenbahnen in die Förderung „aus verkehrspolitischen Gründen gerechtfertigt, da diese Aufgaben der Daseinsvorsorge auf besonders umweltfreundliche Art und Weise wahrnehmen.“3 Ein Umweltverträglichkeitsbonus und der Erhalt der intermodalen Wettbewerbsfähigkeit sind freilich völlig unterschiedliche Regelungskonzepte.
Der Erhalt der Wettbewerbsfähigkeit erfolgt nach § 40 S. 2 EEG 2012 jedoch nur bedingt, „soweit hierdurch die Ziele des Gesetzes nicht gefährdet werden und die Begrenzung mit den Interessen der Gesamtheit der Stromverbraucherinnen und Stromverbraucher vereinbar ist“. Eine zusätzliche Begrenzungswirkung über die konkreten Maßgaben des § 42 EEG 2012 hinaus ist damit zwar nicht verbunden; die Einschränkung bringt aber den vom Gesetzgeber angestrebten Ausgleich der Interessen zwischen den Begünstigten einerseits und den Umlageverpflichteten andererseits zum Ausdruck.
Die besondere Ausgleichsregelung für Schienenbahnen wurde erstmals mit dem EEG 2004 in das Gesetz aufgenommen. Mit dem EEG 2009 wurde dann das Ziel, die „Wettbewerbsfähigkeit“ der privilegierten Unternehmen zu „erhalten“, ausdrücklich in den Gesetzestext des § 40 Abs. 1 S. 2 aufgenommen und um die Spezifizierung „international und intermodal“ ergänzt. Die Formulierung im EEG 2009 wurde unverändert in § 40 S. 2 des EEG 2012 übernommen.
Auch im Entwurf des EEG 20144 wird in § 60 Nr. 2 die bisherige Zielformulierung beibehalten (siehe Tabelle 1).
Tabelle 1: Übersicht zur historischen Entwicklung der besonderen Ausgleichsregelung für Schienenbahnunternehmen
| EEG 2004/06 § 16 | EEG 2009 §§ 40–44 | EEG 2012 §§ 40–44 | EEG-E 2014 §§ 60, 62 | |
|---|---|---|---|---|
| Gesetzliches Ziel | § 16 Abs. 1 | § 40 Abs. 1 S. 2 | § 40 S. 2 | § 60 Nr. 2 |
| (bedingte) Kostenverringerung | (bedingter) Erhalt der intermodalen Wettbewerbsfähigkeit | |||
| Anspruchsvoraussetzung beim Stromverbrauch | Stromverbrauch (SV) unmittelbar für den Fahrbetrieb ≥ 10 Gigawattstunden (GWh) (vor EEG 2012 > 10 GWh) | SV ≥ 2 GWh | ||
| Tarif | 0,05 Cent pro Kilowattstunde (Ct/kWh) für 90% des Stromverbrauchs | 20% der EEG-Umlage | ||
| Deckelungsregelung | Zusätzlich zu einem Gesamtdeckel Anhebung der fixen Umlagebegrenzung (0,05 Ct/kWh), wenn das Gesamtvolumen der Bahnprivilegierungen 20 Mio. Euro übersteigt (§ 16 Abs. 4 S. 5; aufgehoben durch Änderungsgesetz 2006) | – | ||
Quelle: verändert und ergänzt nach Gawel/Klassert, UFZ Discussion Paper 09/2013, S. 14, abrufbar unter <http://www.ufz.de/export/data/global/50127_9_2013_Gawel_Klassert_Bes_Ausgleichsregelung_EEG_gesamt.pdf> (zuletzt abgerufen am 10.5.2014)
2. Ausgestaltungen der Begünstigung
Mit Blick auf den beigegebenen ökologisch motivierten Förderzweck wurde der Schienenverkehr hinsichtlich der Anspruchsvoraussetzungen von Anfang an günstiger gestellt als Unternehmen des produzierenden Gewerbes: Im direkten Vergleich zu den Unternehmen des produzieren Gewerbes entfällt für Schienenverkehrsunternehmen der Nachweis über das Verhältnis der Stromkosten an ihrer Bruttowertschöpfung, welcher im Rahmen des produzierenden Gewerbes gegenwärtig unter § 41 Abs. 1 Nr. 1b EEG 2012 geregelt ist. Zusätzlich entfällt die Pflicht zur Einführung eines Energiemanagementsystems nach § 41 Abs. 1 Nr. 2 EEG 2012.
Stattdessen musste nach § 16 Abs. 2 S. 1 Nr. 1 EEG 2004 eine jährliche Mindestrombezugsmenge von 10 GWh Fahrstrom pro Abnahmestelle nachgewiesen werden (siehe Tabelle 1). Laut § 16 Abs. 2 S. 1 Nr. 2 EEG gilt als „Abnahmestelle“ die „Summe der Verbrauchstellen für den Schienenbahnverkehr des Unternehmens“. Unter Fahrstrom wird jene Strommenge zusammengefasst, die zum Antrieb der Schienenbahnen notwendig ist. Hierunter fallen sowohl der direkte Antriebsstrom als auch der genutzte Strom im Inneren der Schienenfahrzeuge.5 Des Weiteren muss der genutzte Fahrstrom nicht im direkten Zusammenhang mit dem Transport von Gütern oder Menschen stehen, sondern beinhaltet beispielsweise auch Ausbildungs- und Rangierfahrten. Nicht begünstigt werden dagegen Strommengen „in Werkstätten, Verwaltungs- und Bürogebäuden der Schienenbahnunternehmen, Zugreinigungsanlagen, der Betrieb von Bahnhöfen (z. B. Kunden- und Serviceeinrichtungen, Fahrscheinautomaten, Geschäfte) und deren Zugangsbereiche sowie der Stromverbrauch für Bordküchen oder Bordrestaurants“.6 Die Begrenzung der EEG-Umlage nur für unmittelbar im Fahrbetrieb des Schienenbahnverkehrs verbrauchten Strom soll die besondere Ausgleichsregelung auf die Bereiche von Schienenbahnunternehmen konzentrieren, die sich im Wettbewerb mit anderen Verkehrsträgern befinden, und überdies Wettbewerbsneutralität gegenüber reinen Dienstleistungsunternehmen ohne Fahrbetrieb sichern, welche die besondere Ausgleichsregelung nicht in Anspruch nehmen können.
Dabei gelten seit 2004 bis heute die ersten 10% der Strombezugsmenge als Selbstbehalt und wurden in vollem Umfang mit der EEG-Umlage belastet. Die verbleibenden 90% der Strombezugsmenge werden wiederum mit einer reduzierten EEG-Umlage von 0,05 Ct/kWh privilegiert. Diese bis heute geltende Entlastungsformel (1) führt zu einer einseitigen Entlastung stromverbrauchsbezogen „großer“ Schienenbahnen, die zugleich mit zunehmender Höhe der EEG-Umlage absolut und relativ noch ansteigt (derzeit etwa 11% der vollen Umlage) (siehe Abbildung 2).
Auch die Gesetzesnovelle des EEG 2012 brachte keine inhaltliche Veränderung. Insbesondere wurde – anders als für Unternehmen des produzierenden Gewerbes – für Schienenbahnunternehmen kein Stufenmodell im Entlastungstarif7 eingeführt. Damit ist die Regelung gegenüber der Ursprungsfassung im EEG 2004 beinahe unverändert; allerdings ist der spezielle „Schienenbahndeckel“ aus § 16 Abs. 4 S. 5 EEG 2004 bereits 2006 entfallen.
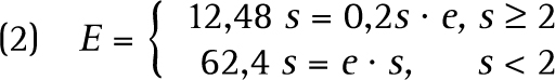
Nach dem EEG 2012 gilt zusammenfassend folgende Tarifformel für den Zahlbetrag E [Tausend Euro = TEUR] auf der Grundlage der EEG-Umlage e (derzeit 62,4 TEUR/GWh) und des Stromverbrauchs s [GWh] (vgl. auch Abbildung 1):
Das Entlastungsausmaß hängt demnach bisher auch von der Höhe der EEG-Umlage ab (siehe Abbildung 2): Je höher die Umlage, desto geringer der Anteil, den ein „Teilzahler“ an dieser zu übernehmen hat (derzeit 10,72%).
Im aktuellen EEG-Entwurf wird die Begünstigung allerdings neu geordnet. § 62 Abs. 1 EEG-E 2014 sieht einen stark herabgesetzten Schwellenwert von nur noch 2 GWh als Freigrenze vor, ab dem der volle Verbrauch für Fahrstrom (ausgenommen rückgespeiste [Brems-] Energie) mit nunmehr 20% der EEG-Umlage belegt wird (Abs. 2). Dadurch wird der Kreis der Begünstigten nochmals ausgeweitet. Zudem werden mittlere und kleinere Schienenbahnunternehmen deutlich entlastet, Großverbraucher wie die Deutsche Bahn hingegen zusätzlich belastet. Kleinstverbrauch unter 2 GWh wird weiterhin voll veranlagt.
Die Tarifformel gemäß EEG-E 2014 für den Zahlbetrag E [TEUR] lautet nunmehr (siehe Abbildung 1):
Während also im Tarif 2012 eine variable Entlastung auf rund 11% der derzeitigen EEG-Umlage (Stand 2014) für Verbräuche ab 10 GWh gewährt wurde, tritt nunmehr dauerhaft eine Entlastung auf 20% der Umlage ab 2 GWh ein. Inwieweit aus der eintretenden Umschichtung der Begünstigung von Groß- zu Mittelverbrauchern bei gleichzeitig erhöhter Anzahl der Begünstigten eine Minderbegünstigung des Schienenbahnsektors insgesamt und damit ein Entlastungsbeitrag zugunsten der nicht begünstigten Stromverbraucher resultiert, hängt von der Verteilung der Stromverbräuche der jeweils anspruchsberechtigten Schienenbahnunternehmen ab. Hierzu liegen keine gesicherten Informationen vor. Auch machen die Veränderungen nochmals deutlich, dass der Gesetzgeber durch die Ausgestaltung der Entlastung nicht unerheblich in den intramodalen Wettbewerb der Schienenbahnen untereinander eingreift, soweit diese etwa im Fernverkehr auch miteinander konkurrieren. Hier wurden bislang bestehende Verzerrungen zwischen Unterneh¬
Auch die Neuregelung kommt nicht ohne Freigrenze als Schwellenwert aus, was unterhalb von 2 GWh weiterhin Anreize zum Mehrverbrauch bedeuten kann, auch wenn diese „perversen Anreize“ im Tarif 2014 deutlich abgemildert werden.
3. Entlastungswirkung der besonderen Ausgleichsregelung für Schienenbahnen
In den letzten Jahren ist die Anzahl der Unternehmen des produzierenden Gewerbes im Rahmen der besonderen Ausgleichsregelung von 554 Unternehmen 2011 auf 1 667 Unternehmen im Jahr 2013 fortlaufend angestiegen. Diese Entwicklung traf bis einschließlich 2013 nicht für die Anzahl privilegierter Schienenverkehrsunternehmen zu (siehe Tabelle 2). Im Schienenbahnsektor erhöhte sich die Anzahl der Unternehmen für denselben Zeitraum von 49 auf 53 Unternehmen. Allerdings lässt sich für das Antragsjahr 2014 ein Anstieg auf 72 privilegierte Schienenverkehrsunternehmen feststellen. Dies ist auf die Neubewertung des Bahnkraftwerksstroms zurückzuführen.8 Durch BGH-Entscheidungen gilt diese Position nicht länger als Eigenverbrauch und ist hierdurch voll EEG-umlagepflichtig.9 Als Konsequenz erreichen mehr Unternehmen den erforderlichen Schwellenwert von 10 GWh und fallen hierdurch in den Bereich der besonderen Ausgleichsregelung.
Insgesamt wurde für das Jahr 2014 eine privilegierte Strommenge von 119 539 GWh angemeldet. Hiermit fallen rund 13% der Gesamtersparnis aus der Privilegierung auf Schienenverkehrsunternehmen zurück (siehe Tabelle 2).10 Die Höhe der umlagebefreiten Strommenge ist im Bereich der Schienenverkehrsunternehmen von 2013 bis 2014 um annähernd 127% gestiegen. Zum Vergleich: Von 2012 bis 2013 hat sich die privilegierte Strommenge um rund 9% erhöht.11 Insgesamt hat also die relative Bedeutung des Schienenbahnprivilegs an der gesamten besonderen Ausgleichsregelung in den letzten Jahren stark zugenommen. Wegen des gleichzeitigen Verlustes des Eigenstromprivilegs für Bahnkraftwerksstrom ist dies jedoch nicht von substantiellen Entlastungen bei Bahnunternehmen begleitet.
Tabelle 2: privilegierte Strommenge und resultierende Ersparnis für Schienenverkehrsunternehmen nach § 42 EEG 2011 bis 2014
| Jahr der Begünstigung | 2011 | 2012 | 2013 | 2014 |
|---|---|---|---|---|
| Privilegierte Strommenge | 4 190 GWh | 4 446 GWh | 4 833 GWh | 10 964 GWh |
| Anzahl privilegierter Unternehmen | 49 | 51 | 53 | 72 |
| Resultierende Ersparnis für Schienenverkehrsunternehmen nach § 42 EEG | 145.812.000 Euro | 157.477.320 Euro | 252.633.563 Euro | 678.678.199 Euro |
| Gesamte Ersparnis für energieintensive Industrien nach §§ 40-44 EEG | 2,74 Mrd. Euro | 2,72 Mrd. Euro | 4,0 Mrd. Euro | 5,1 Mrd. Euro |
| Prozentualer Anteil an der Gesamtersparnis | 5,32% | 5,79% | 6,32% | 13,31% |
| Umlage | 3,530 Ct/kWh | 3,592 Ct/kWh | 5,277 Ct/kWh | 6,24 Ct/kWh |
Quelle: Bundesministerium für Wirtschaft und Technologie (BMWi)/Bundesamt für Wirtschaft und Ausfuhrkontrolle (BAFA) (Fn. 8); eigene Kalkulation
II. Kritik und Weiterentwicklungsperspektiven
1. Kritik an der besonderen Ausgleichsregelung
Bei der Ausnahmeregelung für Schienenbahnen nach § 42 EEG 2012 bzw. § 62 EEG-E 2014 kreist die rechtspolitische Diskussion – neben der Legitimation der Begünstigung als solcher – vor allem um die Rolle des Schienenverkehrs im Transportmittelmix sowie um die gesonderte Behandlung gegenüber Unternehmen des produzie¬
Die kritische Betrachtung der besonderen Ausgleichsregelung für Schienenbahnen ist jedoch auch eingebettet in die allgemeine Kritik an der besonderen Ausgleichsregelung. Im Einzelnen:
-
Fehlanreize: Die besondere Ausgleichsregelung steht in einem grundsätzlichen Konflikt zum energiepolitischen Ziel der Energieverbrauchssenkung. Denn die EEG-Umlage trägt gerade auf marktwirtschaftliche Weise dazu bei, Anreize zur Energieeffizienz auszureichen und damit wichtige Teile des Energiekonzepts der Bundesregierung instrumentell zu untersetzen,12 denn sie wirkt ökonomisch wie eine zusätzliche Stromsteuer. Darüber hinaus setzt die besondere Ausgleichsregelung aufgrund ihres Begünstigungstarifs weiterhin kontraproduktive Anreize zu Mehrverbrauch und zu Unternehmensgestaltungen zur Umgehung der Schwellenwerte. Entgegen der verbreiteten Einschätzung, diese Probleme seien mit dem EEG 2012 behoben,13 bestehen weiterhin Anreize zum Strommehrverbrauch für bestimmte Großabnehmer:14 Dies gilt auch bei Schienenbahnen mit Blick auf die als Freigrenze ausgestaltete Eintrittsschwelle von 10 GWh (künftig 2 GWh), bei deren Erreichen die Begrenzung für die gesamte Strommenge greift. Durch Mehrverbrauch an Strom oder durch organisatorische Unternehmensgestaltung kann so die Kostenlast per Saldo an diesen Übergangsstellen des Begünstigungstarifs u. U. weiterhin abgesenkt werden.
-
Sonderregelungen für Schienenbahnen: Obwohl Schienenbahnunternehmen einen Mindeststrombezug (bisher 10, künftig 2 GWh) aufweisen müssen, brauchen sie anders als Unternehmen des produzierenden Gewerbes mit einem vergleichbaren Strombezug kein Energiemanagementsystem nach § 41 Abs. 1 Nr. 2 EEG 2012 zu etablieren und nachzuweisen. Diese Ungleichbehandlung wird unter umweltpolitischen wie unter Gesichtspunkten des Verbraucherschutzes kritisiert.15 Auch das Fehlen einer auf den Anteil der Stromkosten an der Bruttowertschöpfung gerichteten Anspruchsvoraussetzung (analog zu § 41 EEG 2012) steht in der Kritik. Grund für diese Erleichterung ist, dass die Schienenbahnen nicht wegen ihrer Stromintensität, sondern wegen ihrer Umweltfreundlichkeit gefördert werden sollen. Insoweit sei allerdings fragwürdig, warum Schienenbahnen gleichwohl einen Selbstbehalt tragen müssten. „Dem Umweltschutz würde es auch dienen, Energieverbrauch und Einsparpotenziale zu ermitteln, aber auf § 41 Abs. 1. Nr. 2 wird nicht Bezug genommen.“16
-
Unklarer Entlastungsbedarf: Ob und inwieweit zur Schonung der intermodalen Wettbewerbsfähigkeit überhaupt ein konkreter Entlastungsbedarf besteht, ist unklar: Neben der intransparenten „Entlastungskumulation“ durch Freistellungen von Unternehmen bei verschiedenen energierechtlichen Zahllasten (Umlagen, Steuern, Netzentgelten, Emissionshandel) ist auch fraglich, ob und in welchem Umfange das EEG selbst zu Wettbewerbsnachteilen führt: Denn über die EEG-bedingte Absenkung der Börsenpreise erfolgt bereits eine indirekte Subventionierung, deren Umfang im Einzelfall größer ausfallen kann als die Beschwer durch die (Rest-) Umlage.17 Unternehmen profitieren daher u. U. mehr vom EEG, als sie belastet werden. Beim Entlastungsbedarf müssten neben dem Effekt der Einsatzreihenfolge („Merit Order“) für Strom auch die Energiepreisentwicklungen anderer Verkehrsträger berücksichtigt werden.18
-
Fehlende Dynamisierung des Selbstbehalts: Auch fragt sich in einer inflationären Wirtschaft (bei zudem steigender EEE-Umlage), ob die seit 2004 unveränderten 0,05 Ct/kWh für Schienenbahnen allein unter Kaufkraftgesichtspunkten noch angemessen sein können: „Es erscheint daher durchaus legitim[,] auch die Beteiligung der privilegierten Unternehmen der zeitlichen Entwicklung anzupassen.“19 Im EEG-E 2014 wird durch die neue Tarifformel nunmehr eine Dynamisierung des Selbstbehalts bewirkt (20% der jeweiligen Umlage). Dadurch wird auch vermieden, dass die relative Entlastung künftig mit steigender EEG-Umlage noch zunimmt, wie dies bisher der Fall war (vgl. Abbildung 2).
-
Wettbewerbsverzerrung: Indem Wettbewerbsverzerrungen gegenüber anderen Verkehrsträgern begrenzt werden sollen, schafft die besondere Ausgleichsregelung freilich neue Wettbewerbsverzerrungen zwischen begünstigten und nicht begünstigten Stromverbrauchern im Allgemeinen und zwischen Schienenbahnen im Besonderen. Je höher die eingeräumte Begünstigung (z. B. bei hoher EEG-Umlage), je stärker die jeweils zur Anwendung kommende Differenzierung und je weniger zielgenau die dabei angestrebte Kompensationswirkung von tatsächlichen Wettbewerbsnachteilen ausfallen, desto stärker treten als Folge der Ausgleichsregelung selbst Wettbewerbsverzerrungen auf.20 So könnten gerade stromeffiziente oder schlicht nur „kleinere“ Bahnunternehmen, die wegen geringeren Stromverbrauchs außerhalb des Begünstigtenkreises verbleiben oder nur geringere Begünstigungen erfahren, gegenüber Wettbewerbern benachteiligt werden.
-
Ungerechtigkeit der Lastausteilung: Versteht man die Förderung erneuerbarer Energien zur Vermeidung sozialer Folgelasten (Klimafolgen, Nuklearrisiken, Ölverschmutzung und andere mehr) als gemeinsame Verursacherverantwortung der Stromverbraucher, so durchbricht die besondere Ausgleichsregelung diesen Verursachungszusammenhang und verteilt die Lasten ungleichmäßig.21 Die Auswirkungen auf private Haushalte sollten schon deshalb nicht bagatellisiert werden (der Verband der Industriellen Energie- und Kraftwirtschaft [VIK] spricht von lediglich „überschaubaren“ Entlastungen im Falle einer Kürzung der besonderen Ausgleichsregelung22), weil die Belastungsgrenze einzelner Haushalte anders zu bestimmen ist als die von Unternehmen und weil private Haushalte weder von „Merit Order“-Effekten profitieren noch von den diversen sonstigen unternehmensspezifischen Zahllastfreistellungen (Stromsteuer, Energiesteuer usw.).
-
Hebelwirkung: Im Ausmaß der eingeräumten Ermäßigungen steigt die EEG-Umlage ceteris paribus für alle übrigen Stromverbraucher. Die eintretende Hebelwirkung ist über die bereits angesprochene Verteilungswirkung hinaus auch wegen der gesamtwirtschaftlich negativen Folgen steigender Strompreise relevant. Die klima-, umwelt- und energiepolitisch ja durchaus erwünschten Effekte steigender Strompreise (dazu oben) können dabei aber umso weniger eintreten, als gerade Großverbraucher und industrielle Entscheider mit bedeutendem Energieeffizienzpotential von ihrer Anreizwirkung weitgehend ausgenommen werden. Entsprechend stärker machen sich negative gesamtwirtschaftliche und sozialpolitische Auswirkungen der an andere Verbraucher ausgereichten Belastungen bemerkbar.
2. Zur Rolle einer konsistenten Zielstellung für die Weiterentwicklung der besonderen Ausgleichsregelung
Eine sachgerechte Weiterentwicklung der besonderen Ausgleichsregelung setzt zunächst eine Verständigung über die Zielstellung der Begünstigung voraus. Deren sachliche Legitimation ist zu prüfen und durch eine zielbezogen geeignete Ermäßigungsregelung umzusetzen. Die genaue Zielstellung der Begünstigung des Schienenverkehrs und ihre Legitimation sind jedoch weniger eindeutig, als bisweilen der Eindruck erweckt wird.
Nach § 40 S. 2 EEG 2012 und § 60 Nr. 2 EEG-E 2014 dient die besondere Ausgleichsregelung für Schienenbahnen dem – durch die dort genannten Einschränkungen lediglich bedingten – Erhalt der intermodalen Wettbewerbsfähigkeit. Dieses Erhaltungskonzept ist von anderen in der Diskussion und auch vom Gesetzgeber angeführten Begründungen, etwa der Förderung umweltverträglicher Verkehrsträger oder dem Ausgleich von Wettbewerbsnachteilen, klar abzugrenzen: Die „Förderung des umweltverträglichen Schienenverkehrs“ setzte lediglich den Nachweis komparativer Umweltvorteile des Schienenverkehrs voraus, der insoweit auch durch eine schlichte politische Bewertung des Gesetzgebers gegeben sein könnte. Der „Ausgleich bestehender Wettbewerbsnachteile“ setzte wiederum den Nachweis bestehender Wettbewerbsverzerrungen zwischen den Verkehrsträgern voraus, etwa bei der Anlastung von Wegekosten oder der Internalisierung von Umweltkosten oder sonstiger Verzerrungseffekte etwa des Steuerrechts. Beide Zielstellungen würden auch unabhängig vom EEG gelten und könnten neben der besonderen Ausgleichsregelung auch durch gänzlich andere verkehrs-, energie- oder steuerpolitische Maßnahmen adressiert werden.
§ 40 S. 2 EEG 2012 bzw. § 60 Nr. 2 EEG-E 2014 formulieren demgegenüber ein gänzlich anderes Zielkonzept: Danach sind die durch die EEG-Umlage ausgelösten Beeinträchtigungen einer intermodalen Wettbewerbsfähigkeit zu begrenzen mit dem Ziel, diese Wettbewerbsfähigkeit zu erhalten. Dies setzt voraus,
-
dass ein Unternehmen im intermodalen Wettbewerb steht,
-
sich durch die EEG-Umlage beschwert sieht,
-
und diese Beschwer die intermodale Wettbewerbsfähigkeit nachweislich beeinträchtigt.
Eine allgemeine Honorierung von „Umweltverträglichkeit“ oder ein Ausgleich von EEG-unabhängigen Wettbewerbsnachteilen ist hingegen durch die Zielstellung nicht gedeckt. Ebenso wenig wie für Unternehmen des produzierenden Gewerbes durch die besondere Ausgleichsregelung ein Ausgleich allgemeiner Wettbewerbsnachteile im internationalen Wettbewerb, etwa durch Strompreisdifferentiale zwischen In- und Ausland (oder gar Lohnstückkostenunterschiede), anstehen kann, so kann auch die besondere Ausgleichsregelung für Schienenbahnen sinnvollerweise nicht zur Korrektur allgemeiner Wettbewerbsverzerrungen der Verkehrsträger herangezogen werden. Hierzu bieten sich andere Instrumente mit größerer Sachnähe zu den Verzerrungseffekten an.
Wohl aber sollte die besondere Ausgleichsregelung dafür sorgen, dass Beeinträchtigungen in der Wettbewerbsfähigkeit unter den Verkehrsträgern, die spezifisch durch die EEG-Umlage ausgelöst werden, auf ein verhältnismäßiges Maß begrenzt bleiben. Die Wettbewerbsfähigkeit ist aber nicht bereits durch jedweden Wettbewerbsnachteil herabgesetzt: Kann ein Schienenverkehrsunternehmen Preissteigerungen am Beschaffungsmarkt durch Preiserhöhungen an die Kunden weitergeben oder durch Effizienzmaßnahmen oder Innovationen im Betrieb auffangen, so steht insoweit keine Gefährdung der Wettbewerbsfähigkeit an. Insbesondere können Stromkosten bei steigenden Strompreisen durch Reduzierungen der Verbrauchsmenge im Sinne des Energiekonzepts der Bundesregierung konzeptkonform wirksam begrenzt werden. Die besondere Ausgleichsregelung ist demnach konzeptionell auch kein schlichter Nachteilsausgleich, sondern setzt tatbestandlich eine Gefährdung der intermodalen Wettbewerbsfähigkeit voraus.
Das gesetzliche Ziel der besonderen Ausgleichsregelung, durch die Senkung des Strombezugspreises die „Wettbewerbsfähigkeit“ der begünstigten Unternehmen zu „erhalten“, ist aber selbst noch eine schillernde Zielgröße. Grundsätzlich versteht man unter Wettbewerbsfähigkeit die Möglichkeiten eines Unternehmens, sich am Markt gegenüber Konkurrenten zu behaupten. Diese Behauptungsfähigkeit wird durch zahlreiche marktliche und individuelle Parameter bestimmt (Wettbewerbsintensität auf dem Markt, Heterogenität und Substituierbarkeit der gehandelten Güter, Preiselastizität, Innovationsfähigkeit, Marktmacht auf regionalen Beschaffungsmärkten usw.), aber auch durch regulatorische Kosteneinflüsse, die nur einen Teil der Wettbewerber, z. B. (bestimmte) inländische Unternehmen oder bestimmte Verkehrsträger, treffen und insoweit den Wettbewerb verzerren.
Die Zielstellung des „Erhalts“ der „Wettbewerbsfähigkeit“ gemäß § 40 S. 2 EEG 2012 dürfte damit zweierlei voraussetzen: Erstens müssen aus der EEG-Umlage komparative Kostennachteile gegenüber umlagefreien Wettbewerbern resultieren. Die Umlageerhebung muss zudem verzerrend in den Wettbewerb eingreifen (und nicht etwa eine volkswirtschaftlich insgesamt angemessene relative Preiskorrektur zulasten von Strom darstellen). Zweitens müssen gerade diese komparativen Kosten eine relevante Beeinträchtigung der Wettbewerbsfähigkeit herbeiführen. Dies wiederum setzt zunächst die Existenz eines intermodalen Wettbewerbs voraus: „Wettbewerbsnachteile infolge von Abweichungen der künstlich gesetzten oder natürlichen Wettbewerbsbedingungen können aber nur relevant sein, wenn die angesprochenen Verkehrsträger tatsächlich im Wettbewerb stehen, d. h. auf demselben gemeinsamen Markt agieren“.23
Gerade vor dem Hintergrund der schwerwiegenden allgemeinen Kritik an der besonderen Ausgleichsregelung und der im Koalitionsvertrag niedergelegten Fokussierung auf legitime Fälle beeinträchtigter Wettbewerbsfähigkeit sollte der Gesetzgeber davon absehen, im Bereich der Schienenbahnen eine allgemeine Honorierung von „Umweltverträglichkeit“ oder aber einen unspezifischen Ausgleich sonstiger (z. B. steuerrechtlicher) Wettbewerbsnachteile auszureichen. Stattdessen sind die Begünstigungen zielgerichtet auf Unternehmen zu fokussieren, die nachweislich im intermodalen Wettbewerb stehen und bei denen die volle EEG-Umlage durch spezifische Verzerrungen zu einer Beeinträchtigung ihrer Wettbewerbsfähigkeit führen würde. Gesondert zu würdigen sind dabei unerwünschte Folgeeffekte wie Verkehrsverlagerungen (Verkehrsmittelanteile bzw. „modal split“) und soziale Verteilungswirkungen.
III. Intermodale Wettbewerbssituation für Schienenbahnen
1. Intermodale Wettbewerbssituation
Eine Regelung, welche die Schwächung der intermodalen Wettbewerbsfähigkeit zu verhindern bestrebt ist, setzt die Existenz eines intermodalen Wettbewerbs für die Begünstigten voraus. Üblicherweise wird der Schienenverkehrssektor in die vier Marktsegmente des Güter- bzw. Personennah- und Güter- bzw. Personenfernverkehrs unterteilt. Ob und in welcher Form auf den jeweiligen Teilmärkten intermodaler Wettbewerb herrscht, lässt sich anhand von Preiselastizitäten ermitteln. Dabei wird überschlägig festgestellt, inwiefern die Nachfrager auf Preissteigerungen im Schienenverkehrssektor reagieren. Generell lässt sich ableiten, dass hohe (geringe) Elastizitätswerte eine entsprechend hohe (geringe) Wettbewerbsintensität widerspiegeln. In diesem Zusammenhang ist es entscheidend, inwieweit ein Schienenverkehrsunternehmen externe Kostenschocks durch Effizienzsteigerungen ausgleichen kann bzw. inwiefern die entstehenden Kosten an die Nachfrager weitergegeben werden müssen. So kommt etwa das Zentrum für Europäische Wirtschaftsforschung (ZEW) zu dem Schluss, dass der Anteil der Kosten, welcher über den Produktpreis an die Nachfrager weitergegeben werden muss, im Personenverkehr 90%, im Massengutsegment 72% und im Kaufmannsgutsegment 68% beträgt.24
Der Personennahverkehr (bis 50 km Transportentfernung) steht mit dem motorisierten Individualverkehr im Wettbewerb. Die jeweiligen Elastizitäten werden auf -0,16 für den Personenkraftwagen (Pkw)- und -0,37 für den Eisenbahnverkehr geschätzt.25 Die Elastizitäten fallen somit gering, allerdings asymmetrisch aus, was selbst bei symmetrischen Kostenschocks zur Veränderung des „modal split“ führen könnte. Im Personenfernverkehr ist insbesondere die Distanz zwischen Start- und Zielort entscheidend für die jeweilige Wettbewerbssituation. Beginnend ab einer Transportentfernung von 150 km steht der Personenfernverkehr mit dem motorisierten Individualverkehr sowie auf längerer Distanz auch mit dem Flugverkehr im Wettbewerb. Insbesondere durch den Markteintritt von Billigfluglinien war die Deutsche Bahn AG im Fernverkehr mit einem deutlichen Anstieg der Wettbewerbssituation konfrontiert. Hier ergab sich ein signifikanter Nachfrageeinbruch auf diversen Strecken.26
Durch die Liberalisierung des Buslinienfernverkehres ist im Jahre 2013 ein weiteres Wettbewerbssegment hinzugekommen. Dabei geht die Monopolkommission davon aus, dass sich der Marktanteil des Fernbusverkehrs am gesamten Fernverkehr von derzeit 1% auf bis zu 10% erhöhen kann.27 Hinsichtlich der Preiselastizitäten der Nachfrage für Pkw, Bahn und Flugzeug kommt das ZEW zu differenzierten Ergebnissen: Über das gesamte relevante Entfernungsintervall lässt sich eine relativ starke Wettbewerbsbeziehung zwischen motorisiertem Individualverkehr und Schienenpersonenfernverkehr erkennen. Bis zu einer Entfernung von 300 km stellt dagegen der Flugverkehr kein Substitut zum Schienenpersonenfernverkehr dar. Auch ab einer Entfernung von 800 km besteht lediglich eine sehr geringe Wettbewerbsintensität zwischen Flug- und Schienenverkehr, da hier der Flugverkehr bevorzugt wird. Beim Güterschienenverkehr unterscheidet das ZEW zwischen Massengütern und Kaufmannsgütern (Halb- und Fertigwaren). Beim Segment der Massengüter steht der Güterschienenverkehr in Konkurrenz zur Binnenschifffahrt, wobei durchweg eine symmetrische Elastizität von -0,79 angenommen wird. Im Bereich der Kaufmannsgüter besteht eine Konkurrenzbeziehung zum Lastkraftwagen (Lkw). Hier müssen allerdings, ähnlich dem Personenfernverkehr, Entfernungsunterschiede in Betracht gezogen werden. Dabei ist der Schienengüterverkehr bis 350 km Entfernung dem Straßengüterverkehr unterlegen und stellt somit kein relevantes ökonomisches Substitut dar.
Zusammenfassend ist festzustellen, dass sich der Schienenverkehrsmarkt in den vier Marktsegmenten durchaus (in freilich schwankender Intensität) intermodalem Wettbewerb ausgesetzt sieht. Dabei unterscheiden sich die Elastizitäten deutlich auf den einzelnen Märkten voneinander. Lediglich der Personennahverkehr lässt auf verminderten intermodalen Wettbewerb schließen, da hier relativ geringe Elastizitäten vorliegen. Jedoch ist zu beachten, dass durch die starke intramodale Wettbewerbssituation im Falle externer Kostenschocks 90% der Kosten auf die Nachfrager überwälzt werden müssten.28
Das Öko-Institut will in einer aktuellen Stellungnahme eine Wettbewerbsgefährdung durch die EEG-Umlage schon deshalb ausschließen, weil sich seit 2004 die Preisdifferenz zu Dieseltreibstoffen trotz gestiegener Umlage per Saldo kaum verändert habe.29 Dies bedeutet aber im Wesentlichen nur, dass bislang (2004 bis 2013) Umlageanstiege einerseits durch den „Merit Order“-Effekt beim Großhandelspreis (teil-) kompensiert werden konnten und andererseits die (für die Alternative „Straßenverkehr“ relevanten) Ölpreisanstiege im Vergleichszeitraum damit Schritt gehalten haben. Dass eine staatliche Maßnahme zur Verbesserung der Umweltverträglichkeit der Stromerzeugung in ihrer Preiswirkung zufällig in einem bestimmten Zeitraum durch Marktpreisanstiege bei Mineralöl kompensiert wurde, ändert allerdings nichts an der u. U. verzerrenden Wirkung einseitig bei Strom administrierter umweltbedingter Belastungen. Auch ist damit über die künftigen Preisentwicklungen noch nichts ausgesagt: Demnach wäre die besondere Ausgleichsregelung vom Börsenstrompreis und vom Ölpreis abhängig zu machen – ganz abgesehen von einer Verkürzung der zitierten Betrachtung auf die Alternative „Dieselkraftstoff“ und die Vernachlässigung von Niveau- und Folgeeffekten, z. B. sozialpolitischer Art. Geht es allerdings um die rein faktische Wettbewerbsgefährdung des Bahnverkehrs im Gesamtmarktergebnis, wird man dieses Argument gelten lassen müssen. Hier zeigt sich erneut die Bedeutung einer klaren Zielformulierung für die Beurteilung der Angemessenheit einer Begünstigung.
2. Rolle der Wettbewerbsverzerrungen
a) Überblick
Zwar ist die besondere Ausgleichsregelung kein geeignetes Mittel, um allgemeine Wettbewerbsverzerrungen zwischen Verkehrsträgern auszugleichen; allerdings muss das Ausmaß bestehender Verzerrungen berücksichtigt werden, um die Beschwer durch die EEG-Umlage im segmentspezifischen intermodalen Wettbewerb einschätzen zu können. Als Wettbewerbsverzerrungen zwischen Verkehrsträgern kommen insbesondere unterschiedliche Grade der Wegekostenanlastung, nicht internalisierte externe (Umwelt-) Kosten sowie wettbewerbsrelevante Unterschiede bei Steuern, Abgaben und Subventionen in Betracht.
b) Anlastung von Wegekosten
Wettbewerbsverzerrungen können zunächst aus ungedeckten Infrastrukturkosten resultieren. Hier wird zunächst darauf hingewiesen, dass der Luftverkehr über Start- und Landegebühren sowie Flugsicherungsgebühren seine Infrastrukturkosten weitgehend decke.30 Dagegen deckte der Personenfernverkehr der Deutschen Bahn AG seine Wegekosten nur zu ca. 56%, der Bahngüterverkehr sogar nur zu 11%, und zwar im Zeitablauf sogar mit fallender Tendenz.31 Der Personennahverkehr weist hingegen (sogar noch steigende) Kosten(über)deckung auf. Das Ausmaß der Wegekostenunterdeckung im Schienenverkehr dürfte daher – trotz Subventionierung von Regionalflughäfen32 – vermutlich sogar größer sein als im Luftverkehr. Beim automobilen Fernverkehr wird darauf verwiesen, dass die verkehrsbezogenen Abgaben (Kraftfahrzeugsteuer, Energiesteuer, Lkw-Maut) insgesamt ausreichen würden, um die notwendigen Verkehrsinfrastrukturinvestitionen finanzieren zu können, obwohl faktisch weite Teile der Einnahmen für allgemeine Haushaltszwecke eingesetzt werden. Die Deckungsquote für deutsche mautpflichtige Nutzfahrzeuge wird sogar mit über 200% angegeben.33 Aus unzureichend angelasteten Wegekosten lässt sich daher insgesamt kaum ein Wettbewerbsnachteil der Schienenbahnen herleiten.
c) Internalisierung externer Umweltfolgen
Daneben kommen aber noch erhebliche Wettbewerbsverzerrungen infolge nicht internalisierter externer Umweltkosten in Betracht. Zieht man die Daten der regelmäßig vom Internationalen Eisenbahnverband (International Union of Railways, UIC) in Auftrag gegebenen Studien zu den externen Kosten des Verkehrs in Europa heran,34 so ist der Bahnverkehr für nur 2% der gesamten verkehrsbedingten Externalitäten in Europa verantwortlich – gegenüber 4% durch Luftverkehr und 94% durch Straßenverkehr. Betrachtet wurden Klimafolgen, Luftverschmutzung, Unfälle, Lärm und landschaftsbezogene Kosten. Wie in vielen anderen Vergleichsstudien beinhalten die externen Kosten des Straßenverkehrs auch Stauungskosten, die zwar ein verkehrspolitisches Problem, aber wohl „keine Wettbewerbsverzerrung zu Lasten sondern eher zu Gunsten der Schiene darstellen“.35 Mit 15,30 Euro pro 1 000 km im Personen- bzw. 7,90 Euro pro 1 000 km im Frachtverkehr ist die Bahn danach auch in Bezug auf eine standardisierte Transportleistung hinsichtlich der volkswirtschaftlichen Zusatzkosten der mit Abstand gün¬
Auch das Umweltbundesamt (UBA) weist in aktuellen Vergleichsstudien zu den Verkehrsträgern37 unter Berücksichtigung von Klimafolgen und Luftverschmutzung durch Stickoxide den Bahnverkehr als besonders umweltfreundlich aus. Eine auch nur annähernd vollständige Bestandsaufnahme der externen Umweltfolgen des Verkehrs oder eine Bewertung der daraus resultierenden gesellschaftlichen Schäden kann damit allerdings nicht geleistet werden. Insgesamt sind die Umweltvorteile des Schienenverkehrs über zahlreiche Vergleichsstudien allerdings recht robust.
Im Ausmaß einer unzulänglichen Internalisierung dieser externen Umweltfolgelasten entstehen daher massive Verzerrungen zulasten des Schienenverkehrs. Eine entsprechende Einschätzung wird aber dadurch erheblich erschwert, dass derzeit kein einheitliches System der Internalisierung externer Kosten besteht (z. B. partielle ordnungsrechtliche Internalisierung der Lärmkosten durch Lärmschutz, Emissionshandel im Luftverkehr, Energiebesteuerung für Kraftfahrzeugverkehr, Stromsteuer) und die Abschöpfungsinstrumente z. T. zugleich der Wegekostenfinanzierung dienen. Dies unterstreicht die Notwendigkeit einer verkehrspolitischen Gesamtabstimmung zwischen Wegekostenanlastung, Internalisierung externer Umweltfolgen und sonstigen steuerlichen Regelungen, um volkswirtschaftliche Wettbewerbsneutralität zu gewährleisten.
Insgesamt zeigen die verfügbaren Daten, dass aus unzureichender Wegekostenanlastung, insbesondere gegenüber dem Pkw-Verkehr, kaum Wettbewerbsverzerrungen hergeleitet werden können und wenn, dann eher zugunsten der Bahn, vor allem im Güterverkehr. Tatsächlich werden relevante Teile der Bahninfrastrukturkosten weiterhin aus öffentlichen Mitteln bestritten.38 Signifikant sind hingegen Unterschiede in der Preiswirksamkeit externer Folgekosten des Verkehrs. Die Umweltfreundlichkeit des Schienenverkehrs kann insbesondere unter Klimagesichtspunkten, aber auch in erweiterten Umweltfolgekostenrechnungen als gesichert gelten.
d) Besteuerung und Subventionierung
Der Einsatz von Energieträgern ist in Deutschland durch zahlreiche finanz- und umweltpolitische Instrumente beeinflusst. Von besonderer Bedeutung ist hierbei die Energiebesteuerung. Diese Instrumente können zur Internalisierung der zuvor dargestellten externen Umweltfolgen beitragen, leisten dies freilich nicht annähernd vollständig und verfolgen z. T. andere Funktionen (z. B. Finanzierung von Wegekosten oder allgemeiner Staatsausgaben). Hinzu kommt, dass etwa die im Energie- und im Stromsteuergesetz festgelegten und im Rahmen der ökologischen Steuerreform angepassten Verbrauchssteuern den Einsatz der jeweiligen Energieträger in höchst unterschiedlichem Ausmaß belasten, und zwar sowohl nach Energiegehalt als auch in Bezug auf die Kohlendioxidlast.39 Hier ergeben sich mithin weitere Verzerrungseffekte durch das Energiesteuerrecht.
Auch die Umsatzbesteuerung trägt zu Verzerrungen bei: Zwar besteht im Inland zwischen den Verkehrsträgern insoweit umsatzsteuerliche Gleichbehandlung, doch ist der grenzüberschreitende Flugverkehr – ebenso wie von der Energiesteuer – auch von der Mehrwertsteuer befreit. Hinzu treten schließlich noch verkehrsträgerspezifische Auswirkungen umweltschädlicher Subventionen, insbesondere zugunsten des Straßenverkehrs (z. B. Entfernungspauschale und Dienstwagenprivileg bei der Einkommensteuer).40
Eine genaue Bewertung der verschiedenen Effekte des Steuer-, Abgaben- und Transfersystems ist wegen der Komplexität der Regelungen und der verschiedenen Allokations- und Finanzierungsziele kaum im Detail möglich. Allerdings bestehen signifikante Mehrbelastungen des Schienenverkehrs gegenüber anderen Verkehrsträgern, die im Widerspruch zu dessen komparativer umweltpolitischer Vorzugswürdigkeit stehen. Inwieweit diese Verzerrungen Veranlassung geben, im Rahmen des EEG eine kompensierende Begünstigung von Schienenbahnen vorzusehen, hängt vom Entlastungskonzept ab: Auch komparative Nachteile im Wettbewerb müssen noch nicht die Wettbewerbsfähigkeit beeinträchtigen, und anstelle der EEG-Umlage kommen auch Korrekturen bei der Verzerrungen jeweils verursachenden Umwelt- und Abgabenpolitik in Frage. Umgekehrt dürfte außer Frage stehen, dass eine volle EEG-Umlage den auf Strom angewiesenen Teil des Schienenverkehrs einseitig belastet und insoweit eine internalisierungs- und steuerpolitische Schieflage verstärkt.
Das Deutsche Institut für Wirtschaftsforschung (DIW) nimmt die Problematik zum Anlass, anstelle der besonderen Ausgleichsregelung alternative Lösungsmöglichkeiten für Verzerrungen vorzusehen.41 Dabei sollen geeignete allgemeine verkehrs- und umweltpolitische Rahmenbedingungen geschaffen und störende Be- bzw. Vergünstigungen abgebaut werden. Als möglichen Weg benennt das DIW die direkte Förderung des öffentlichen Personennahverkehrs durch die jeweiligen öffentlichen Haushalte. Dabei können auch bessere Anreize mit Blick auf die Energieeffizienz gesetzt werden. „Der Wettbewerbsnachteil des Schienenverkehrs gegenüber anderen Verkehrsmitteln entsteht erst dadurch, dass die umweltschädlichen Auswirkungen anderer Verkehrsträger bisher im Preis nicht abgebildet sind oder sie durch Subventionen gestützt werden“.42 Wird hier in geeigneter Weise gegengesteuert, so entfällt das Verzerrungsargument. Dies stützt abermals die Überlegung, die besondere Ausgleichsregelung nicht als Reparaturhebel allgemeiner Wettbewerbsnachteile einzusetzen, sondern die zu konstatierenden Verzerrungen vordringlich am Ort ihres Entstehens anzugehen. Dies ist überzeugend, lässt allerdings die Frage offen, wie zu verfahren sein soll, wenn der Abbau von Verzerrungen zugunsten anderer Verkehrsträger politisch nicht gelingt und sich die regulatorisch bedingten Wettbewerbsnachteile des Schienenverkehrs – wie in den vergangenen Jahrzehnten demonstriert – auch weiterhin als äußerst hartnäckig erweisen.
3. Verkehrs- und sozialpolitische Folgeeffekte
Unabhängig davon, ob im Sinne der aktuellen Zielstellung der besonderen Ausgleichsregelung die Wettbewerbsfähigkeit von Schienenverkehrsunternehmen im gesamten Marktergebnis durch eine volle EEG-Umlage relevant beeinträchtigt würde, könnte es volkswirtschaftlich sinnvoll sein, die verkehrs- und sozialpolitischen Folgewirkungen von EEG-bedingten Preissteigerungen auch bei im Übrigen erhaltener Wettbewerbsfähigkeit zur Begründung der Ausnahmeregelung der besonderen Ausgleichsregelung heranzuziehen.
So wird nicht bestritten, dass es ohne besondere Ausgleichsregelung nach Maßgabe der jeweils notwendigen Überwälzung und der jeweils relevanten Preiselastizitäten voraussichtlich Verlagerungseffekte zwischen den Verkehrsträgern geben würde.43 Diese Verlagerungseffekte wären volkswirtschaftlich hinzunehmen, wenn und soweit ein insgesamt unverzerrter Preiswettbewerb zwischen den Verkehrsträgern bestehen und die EEG-Umlage die Kostenwahrheit der Preise insgesamt erhöhen würde. Davon kann freilich nicht ausgegangen werden. Stattdessen greift die EEG-Umlage einseitig als Preiskorrektur bei Strom ein, ohne dass an anderer Stelle Verzerrungen behoben würden („second-best“-Argument). Insoweit sind verkehrspolitische Verlagerungseffekte aufgrund der partiellen Wirkung der EEG-Umlage auf strombasierte Verkehrsträger bei insgesamt vielfach verzerrten Preisrelationen u. U. wohlfahrtsmin¬
Wenn rund 90% eines externen Kostenschocks von Schienenverkehrsunternehmen an die Nachfrager in Form von Preiserhöhungen weitergereicht werden müssten, bestehen außerdem noch sozialpolitische Bedenken: So wären durch den Anstieg der Schienenpersonennahverkehrspreise insbesondere untere Einkommensschichten betroffen, da hier die Anzahl an Ausweichmöglichkeiten gering oder gar nicht gegeben ist. Dies dürfte mit ein Grund für die als gering ermittelten Preiselastizitäten im Nahverkehr sein. Konkret wird davon ausgegangen, dass eine mögliche Umlagereduzierung durch den Wegfall der besonderen Ausgleichsregelung im Schienenpersonennahverkehr eine darauf folgende Fahrkartenpreiserhöhung nicht kompensieren könnte. Exemplarisch verweist der Verband deutscher Verkehrsunternehmen (VDV) auf eine Fahrkartenpreissteigerung von rund 3% im Falle des Wegfalls der besonderen Ausgleichsregelung. Dem gegenüber stände eine Reduzierung der EEG-Umlage um 0,06 Cent.44
Da die Marktstruktur im Schienentransportsektor die Weitergabe der Faktorpreiserhöhungen an die Konsumenten der Fahrdienstleistung zuließe, wäre eine Mehrbelastung insbesondere der unteren Einkommensschichten die Folge, weil sich hier die Nutzung öffentlicher (Nah-) Verkehrsmittel konzentriert und die zu erwartende Fahrpreiserhöhung die Stromkosteneinsparung durch Umlageverringerung deutlich übertreffen dürfte:45 Während sich nämlich der Umlageanteil durch die Ausnahme des Schienenverkehrs auf die gesamte nicht privilegierte Basis der Strombezieher verteilt, würde eine Streichung oder Reduzierung der Umlagebefreiung für Schienenbahnen durch Fahrpreiserhöhungen kompensiert, die dann nur noch vom kleineren Kreis der Bahnfahrer getragen werden müsste.
Eine völlige Streichung der besonderen Ausgleichsregelung erscheint daher verkehrs- und sozialpolitisch durchaus fragwürdig, selbst wenn überwälzungsbedingt von einem Erhalt der Wettbewerbsfähigkeit oder gar von nur geringem intermodalem Wettbewerb auszugehen wäre. Wie die Elastizitätsanalysen belegen, könnte gerade der sozial sensiblere Personennahverkehr unter dem Gesichtspunkt des geringeren intermodalen Wettbewerbs am ehesten aus der Begünstigung zu entlassen sein.46
IV. Fazit
Wegen der gravierenden Nachteile einer besonderen Ausgleichsregelung (vgl. oben, unter II. 1.) bedarf es einer klaren Rechtfertigung von Ausnahmen für den Schienenverkehr. Auf die so formulierte und gerechtfertigte Zielstellung ist die Ausgestaltung geeignet auszurichten. Im Rahmen der aktuellen Zielstellung gemäß § 40 S. 2 EEG 2012 (und § 60 Nr. 2 EEG-E 2014) dient die besondere Ausgleichsregelung für Schienenbahnen dem – durch die dort genannten Einschränkungen lediglich bedingten – Erhalt der intermodalen Wettbewerbsfähigkeit. Dieses Erhaltungskonzept ist von anderen in der Diskussion und auch vom Gesetzgeber selbst angeführten Begründungen, etwa der Förderung umweltverträglicher Verkehrsträger oder dem Ausgleich von Wettbewerbsnachteilen, klar abzugrenzen. Die Zielstellung des „Erhalts“ der „Wettbewerbsfähigkeit“ dürfte zweierlei voraussetzen: Erstens müssen aus der EEG-Umlage komparative Kostennachteile gegenüber umlagefreien Wettbewerbern resultieren. Die Umlageerhebung muss zudem verzerrend in den Wettbewerb eingreifen (und nicht etwa eine volkswirtschaftlich insgesamt angemessene relative Preiskorrektur zulasten von Strom darstellen). Zweitens müssen gerade diese komparativen Kosten eine relevante Beeinträchtigung der Wettbewerbsfähigkeit herbeiführen. Dies wiederum setzt zunächst die Existenz eines intermodalen Wettbewerbs voraus.
Gerade vor dem Hintergrund der schwerwiegenden allgemeinen Kritik an der besonderen Ausgleichsregelung und der im Koalitionsvertrag niedergelegten Fokussierung auf legitime Fälle beeinträchtigter Wettbewerbsfähigkeit sollte der Gesetzgeber davon absehen, im Bereich der Schienenbahnen eine allgemeine Honorierung von „Umweltverträglichkeit“ oder aber einen unspezifischen Ausgleich sonstiger (z. B. steuerrechtlicher) Wettbewerbsnachteile auszureichen. Diese sind vordringlich am Ort ihrer Verursachung anzugehen. Stattdessen sind die Begünstigungen der besonderen Ausgleichsregelung zielgerichtet auf Unternehmen zu fokussieren, die nachweislich im intermodalen Wettbewerb stehen und bei denen die volle EEG-Umlage durch spezifische Verzerrungen zu einer Beeinträchtigung ihrer Wettbewerbsfähigkeit führen würde. Die Wettbewerbsfähigkeit ist aber nicht durch jedweden Wettbewerbsnachteil gefährdet: Kann ein Unternehmen im Preis überwälzen oder den Preisschock durch Effizienzsteigerung oder Innovationen auffangen, so liegt keine relevante Beschwer vor.
Im Rahmen der aktuellen Zielstellung der besonderen Ausgleichsregelung lässt sich für den Güter- und den Personenfernverkehr auf der Schiene eine Begründung für eine Privilegierung aus der Wettbewerbssituation ableiten. Aus Gründen unzureichenden intermodalen Wettbewerbs könnte hingegen am ehesten der Personennahverkehr aus der besonderen Ausgleichsregelung entlassen werden. Dies wäre aber sozialpolitisch problematisch. Unabhängig von der aktuelle Zielstellung des Erhalts der Wettbewerbsfähigkeit zu würdigen sind deshalb unerwünschte Niveau- und Folgeeffekte wie Verkehrsverlagerungen („modal split“) und soziale Verteilungswirkungen. Diese sind bisher durch das Ziel des § 40 S. 2 EEG 2012 (fortgeführt in § 60 Nr. 2 EEG-E 2014) konzeptionell nicht erfasst. Eine von § 40 S. 2 EEG 2012 abweichende Begründung der besonderen Ausgleichsregelung könnte insbesondere eine „second-best“-Argumentation bieten, bei der eine zwar langfristig wohlfahrtserhöhende Strompreiskorrrektur für sich genommen sektoral als angemessen gelten könnte, aber wegen fehlender Preiskorrekturen bei anderen Verkehrsträgern u. U. im Ergebnis wohlfahrtsmindernd wirken könnte. Dies gilt auch bei fortbestehender Wettbewerbsfähigkeit. Ein völliger Wegfall der besonderen Ausgleichsregelung für Schienenbahnen erscheint daher insgesamt auch künftig nicht sachgerecht.
Die geplante Neuregelung im EEG-E 2014 erweitert den Kreis der Begünstigten, schichtet die Entlastungen zulasten von Großverbrauchern um und mildert die intramodalen Verzerrungen und Mehrverbrauchsanreize durch Sprungstellen, ohne diese jeweils zu beseitigen. Zudem findet erstmals eine dauerhafte Dynamisierung des Selbstbehaltes statt. Die Ausgestaltung im EEG-E 2014 trägt somit zur Bereinigung bisheriger Unwuchten bei. Jedoch bleibt der Beitrag zur Gesamtbegrenzung der ausgereichten Begünstigungen im Sinne einer Entlastung der nicht privilegierten Stromverbraucher unklar. Mehrbelastungen der Großverbraucher stehen Entlastungen kleiner und mittlerer Bahnen gegenüber. Eine Rechtfertigung der fortgeführten besonderen Ausgleichsregelung dürfte freilich stärker noch unter allgemeinen verkehrs- und sozialpolitischen Gesichtspunkten gelingen als unter Berufung auf das eigentliche Entlastungsziel des Erhalts von intermodaler Wettbewerbsfähigkeit; dies gilt insbesondere für den Personennahverkehr.
Prof. Dr. Erik Gawel ist Direktor des Instituts für Infrastruktur und Ressourcenmanagement der Universität Leipzig und Leiter des Departments Ökonomie am Helmholtz-Zentrum für Umweltforschung (UFZ) in Leipzig. Als Umwelt-, Energie- und Rechtsökonom befasst er sich schwerpunktmäßig mit ökonomischen und rechtlichen Problemen von Instrumenten der Umwelt- und Energiepolitik, derzeit u. a. in der Helmholtz-Allianz ENERGY-TRANS.
| * | Der Autor dankt Friso de Knegt, Christian Klassert, Alexandra Purkus und Niki Zahn für wertvolle Zuarbeiten und Hinweise. |
| 1 | Siehe dazu Salje, EEG, 6. A., 2012, § 40 Rn. 1 ff.; Große/Kachel, in: Altrock/Oschmann/Theobald, EEG, 4. A., 2013, § 40 Rn. 1 ff.; Posser/Altenschmidt, in: Frenz/Müggenborg, EEG, 3. A., 2013, § 40 Rn. 1 ff. |
| 2 | BMU, Thesenpapier zum 6. EEG-Dialogforum „Ausnahmeregelungen im EEG“, 2013, S. 2, abrufbar unter <http://www.erneuerbare-energien.de/fileadmin/Daten_EE/Dokumente__PDFs_/Plattform_EE_EEG-Dialog/eeg_dialog_6_thesen_bf.pdf> (zuletzt abgerufen am 10.5.2014). Gegen eine pauschale Ökologieprämie wendet sich insbesondere das Institut für ZukunftEnergieSysteme (IZES), siehe Horst/Leprich, in: Zentrum für Sonnenenergie- und Wasserstoff-Forschung Baden-Württemberg (ZSW), Vorbereitung und Begleitung der Erstellung des Erfahrungsberichtes 2007 gemäß § 20 EEG, 2007, S. 421, 422, abrufbar unter <https://www.clearingstelle-eeg.de/files/private/active/0/eeg_forschungsbericht9_12.pdf> (zuletzt abgerufen am 10.5.2014). |
| 3 | Gesetzentwurf der Bundesregierung, BT-Drs. 16/8148, 26, 66. |
| 4 | Siehe den Entwurf der Bundesregierung eines Gesetzes zur grundlegenden Reform des Erneuerbare-Energien-Gesetzes und zur Änderung weiterer Bestimmungen des Energiewirtschaftsrechts, BR-Drs. 157/14, sowie den Entwurf der Bundesregierung eines Gesetzes zur Reform der Besonderen Ausgleichsregelung für stromkosten- und handelsintensive Unternehmen v. 7.5.2014, abrufbar unter <http://www.bmwi.de/BMWi/Redaktion/PDF/E/entwurf-eines-gesetzeszur-reform-der-besonderen-ausgleichsregelung,property=pdf,bereich=bmwi2012,sprache=de,rwb=true.pdf> (zuletzt abgerufen am 10.5.2014). |
| 5 | Hierzu zählt Strom, der „zum Antrieb der Schienenfahrzeuge und zum Betrieb ihrer sonstigen elektrischen Anlagen (z. B. Zugbeleuchtung und Klimatisierung), für die Zugbildung und die Zugvorbereitung sowie für die Bereitstellung und Sicherung der Fahrtrasse (z. B. Stellwerke oder Signalanlagen) benötigt wird“, siehe die Begründung zum Gesetzentwurf der Bundesregierung, BR-Drs. 157/14, 124, 236 (zu § 62 EEG-E 2014). |
| 6 | Siehe die Begründung zum Gesetzentwurf der Bundesregierung, BR-Drs. 157/14, 124, 236 (§ 62 EEG-E 2014); siehe auch Müller, in: Altrock/Oschmann/Theobald (Fn. 1), § 42 Rn. 17. |
| 7 | Dazu Gawel/Klassert, ZUR 2013, 473. |
| 8 | Vgl. Bundesministerium für Wirtschaft und Technologie (BMWi)/Bundesamt für Wirtschaft und Ausfuhrkontrolle (BAFA), Hintergrundinformationen zur Besonderen Ausgleichsregelung – Antragsverfahren 2013 auf Begrenzung der EEG-Umlage 2014, 2014, S. 9 ff., abrufbar unter <http://www.bafa.de/bafa/de/energie/besondere_ausgleichsregelung_eeg/publikationen/bmwi/eeg_hintergrundpapier_2014.pdf> (zuletzt abgerufen am 10.5.2014). |
| 9 | Siehe BGH, CuR 2010, 16 (Urt. v. 9.12.2009 – Az. VIII ZR 35/09); REE 2011, 144 (Urt. v. 15.6.2011 – Az. VIII ZR 308/09). Dazu Krafczyk/Heine, CuR 2010, 8; Panknin, EnWZ 2014, 13. |
| 10 | Der Anteil an der gesamten privilegierten Strommenge betrug im Begrenzungsjahr 2011 dagegen 5,8%, siehe BMU, Hintergrundinformationen zur Besonderen Ausgleichsregelung für die Jahre 2012/2013, 2012, S. 10. |
| 11 | Vgl. BMWi/BAFA (Fn. 8), S. 11. |
| 12 | Vgl. Gawel u. a., GAiA 2013, 278, 282. |
| 13 | Vgl. Verband der Industriellen Energie- und Kraftwirtschaft (VIK), Stellungnahme zum 6. EEG-Dialogforum „Ausnahmeregelungen im EEG“, 2013, S. 3, abrufbar unter <http://vik.de/stellungnahmen.html?file=tl_files/downloads/public/stellungnahmen/2013/05-2013.PDF> (zuletzt abgerufen am 10.5.2014). |
| 14 | Siehe Gawel/Klassert, ZUR 2013, 473; et 10/2013, 29. |
| 15 | So mit Blick auf das EEG 2012 Müller (Fn. 6), § 42 Rn. 17. |
| 16 | Posser/Altenschmidt (Fn. 1), § 42 Rn. 25. |
| 17 | Vgl. Sensfuß, Analysen zum Merit-Order-Effekt erneuerbarer Energien – Update für das Jahr 2010, 2011, S. 43, abrufbar unter <http://www.erneuerbare-energien.de/fileadmin/ee-import/files/pdfs/allgemein/application/pdf/gutachten_merit_order_2010_bf.pdf> (zuletzt abgerufen am 10.5.2014). |
| 18 | So etwa Matthes u. a., Vorschlag für eine Reform der Umlage-Mechanismen im Erneuerbaren-Energien-Gesetz (EEG), 2014, abrufbar unter <http://www.oeko.de/oekodoc/1856/2014-003-de.pdf> (zuletzt abgerufen am 10.5.2014). |
| 19 | Leprich u. a., in: Fraunhofer-Institut für System- und Innovationsforschung (ISI) u. a., Vorbereitung und Begleitung der Erstellung des Erfahrungsberichtes 2011 gemäß § 65 EEG, 2011, S. 252, 260, abrufbar unter <http://www.erneuerbare-energien.de/fileadmin/ee-import/files/pdfs/allgemein/application/pdf/eeg_eb_2011_recht_bf.pdf> (zuletzt abgerufen am 10.5.2014). Ebenso Gawel/Klassert, ZUR 2013, 473, 476. |
| 20 | So auch Manssen, WiVerw 2012, 170, 172, der sogar verfassungsrechtliche Bedenken geltend macht. |
| 21 | An die Ungleichbehandlung werden auch verfassungsrechtliche Fragen geknüpft, siehe etwa Müller u. a., in: Fraunhofer-ISI u. a. (Fn. 19), S. 277, 277 ff.; Manssen, WiVerw 2012, 170, 172. |
| 22 | VIK (Fn. 13), S. 2. |
| 23 | Eisenkopf u. a., ZfV 2008, 35. |
| 24 | Vgl. Bühler u. a., Wettbewerb und Umweltregulierung im Verkehr, 2009, S. III ff., abrufbar unter <ftp://ftp.zew.de/pub/zew-docs/gutachten/Endbericht_WettbewerbundUmweltregulierungimVerkehr.pdf> (zuletzt abgerufen am 10.5.2014). Siehe auch Heuermann, Intermodale Wettbewerbsdynamik im europäischen Personenverkehr: Bestimmungsfaktoren des Wettbewerbs zwischen Schienen- und Luftverkehrsanbietern sowie strategische Implikationen für Bahnunternehmen, 2007. |
| 25 | Bühler u. a. (Fn. 24), S. III ff. |
| 26 | Bühler u. a. (Fn. 24), S. 37 f. |
| 27 | Monopolkommission, Sondergutachten Nr. 64, BT-Drs. 17/14076, 1, 70 f. Tz. 228 ff. |
| 28 | Vgl. Bühler u. a. (Fn. 24), S. 39 ff. |
| 29 | Matthes u. a. (Fn. 18), S. 35 f. |
| 30 | Eisenkopf u. a., ZfV 2008, 35, 67. |
| 31 | Siehe das Wegekostengutachten von Rommerskirchen/Rothengatter u. a., Aktualisierung der Wegekostenrechnung für die Bundesfernstraßen in Deutschland, 2007. |
| 32 | Heymann/Vollenkemper, Ausbau von Regionalflughäfen: Fehlallokation von Ressourcen, Deutsche Bank Research Aktuelle Themen 337, 2005; Eisenkopf u. a., ZfV 2008, 35, 67. |
| 33 | Rommerskirchen/Rothengatter u. a. (Fn. 31). |
| 34 | Siehe nur die letzte Aktualisierungsstudie mit Daten von 2008: van Essen u. a., External Costs of Transport in Europe, Update Study for 2008, 2011, S. 80. |
| 35 | Eisenkopf, Internationales Verkehrswesen 3/2005, 75. |
| 36 | Van Essen u. a. (Fn. 34), S. 71 ff. (dies gilt selbst ohne Stauungskosten). |
| 37 | Siehe UBA, Daten zum Verkehr – Ausgabe 2012, 2012, abrufbar unter <http://www.umweltbundesamt.de/sites/default/files/medien/publikation/long/4364.pdf> (zuletzt abgerufen am 10.5.2014), und Mottschall/Bergmann, Treibhausgas-Emissionen durch Infrastruktur und Fahrzeuge des Straßen-, Schienen- und Luftverkehrs sowie der Binnenschifffahrt in Deutschland, 2013, abrufbar unter <http://www.umweltbundesamt.de/sites/default/files/medien/378/publikationen/texte_96_2013_treibhausgasemissionen_durch_infrastruktur_und_fahrzeuge.pdf> (zuletzt abgerufen am 10.5.2014). |
| 38 | Siehe Eisenkopf, Wirtschaftsdienst 2013, 674, 677. Nach dem letzten Wegekostengutachten (Rommerskirchen/Rothengatter u. a. [Fn. 31]) wurden die gesamtwirtschaftlichen Kosten der Schieneninfrastruktur 2007 nur zu 47% gedeckt, im Güterverkehr sogar nur zu 11%. |
| 39 | Siehe dazu die Vergleichsrechnungen in Gawel, UFZ Discussion Paper 12/2014. |
| 40 | Siehe Burger u. a., Umweltschädliche Subventionen in Deutschland, Aktualisierung für das Jahr 2008, 2010. |
| 41 | Vgl. Neuhoff u. a., Politikberatung kompakt 75, 2013, S. 55, abrufbar unter <http://www.diw.de/documents/publikationen/73/diw_01.c.431913.de/diwkompakt_2013-075.pdf> (zuletzt abgerufen am 10.5.2014). |
| 42 | Vgl. Neuhoff u. a. (Fn. 41), S. 55. |
| 43 | Leprich u. a. (Fn. 19), S. 243 f. |
| 44 | Dazu wurden entsprechende Modellrechnungen vom VDV vorgelegt, siehe VDV, Presseinformation Nr. 8/2013, abrufbar unter <http://www.vdv.de/pmeeg-umlage.pdfx> (zuletzt abgerufen am 10.5.2014). |
| 45 | Dazu VDV (Fn. 44). |
| 46 | Leprich u. a. (Fn. 19), S. 245. |
